

东方世界,幸好有杨振宁
有一些人,活得非常“叶公好龙”。TA们号称渴望真理,而当真理来临时,却对它恨之入骨。TA们感叹世界缺乏伟大,而当伟大就在身边时,却极尽诬蔑。杨振宁,作为全人类顶尖的物理学家之一。
他的伟大是历史级别的伟大,他的成就是文明级别的成就。作为人类骄子,理应在华人世界受到顶礼膜拜,享受垂手金字塔尖的尊荣。而这位智者中的智者,却被太多“虫子”们所骚挠。

各种难以入耳的闲言碎语,各种自以为是的道德绑架,还有一些无聊人的造谣中伤。具体的骚挠就不说了,网络上俯拾皆是。2017年,我们写过一篇《中国人,你真的不了解杨振宁》,试图让更多普通人知道这位巨人的伟岸,然而,直到今天,仍然还有无数人对他嗤之以鼻,可你了解他吗?回首人类近现代史300年,这是科学“群星闪耀”的年代,他们的名字是:
哥白尼、伽利略、笛卡儿、牛顿、莱布尼茨、欧拉、高斯、黎曼、伽罗瓦、阿贝尔、麦克斯韦、希尔伯特、爱因斯坦、玻尔、狄拉克、哥德尔、图灵、费曼、外尔、温伯格、盖尔曼、威藤、霍金……

伟大的科学家们
正是这些名字,他们构建了伟大的“科技时代”,才有了辉煌的现代文明。在东方世界,能够进入这个阵列的,那就是——杨-振-宁。为什么杨振宁有资格站在这个阵列,有一点很相似,他和麦克斯韦、爱因斯坦、狄拉克、牛顿等一样,试图用一个理论(方程)去解释整个世界。

“宇称不守恒”只是开胃菜
杨振宁到底用哪个公式统治世界?

宇称不守恒
在大多数人的记忆里,杨振宁和李政道因为发现弱相互作用下“宇称不守恒”,斩获第一个华裔诺贝尔奖,成就了他的世界性声誉。事实上,发现“宇称不守恒”只是他的开胃小菜,杨的最大贡献是贡献了杨-米尔斯公式。杨-米尔斯方程是什么?

学院派的说法是:杨氏理论是基于SU(N)组的一种量规理论,或者更普遍地说,是一个紧凑、半简单的李群。杨振宁米尔斯理论旨在描述基本粒子的行为使用这些非阿贝尔李群和统一的核心的电磁和弱力(即U(1)×SU(2))以及量子色动力学理论的强力(基于SU(3))。从而形成了我们对粒子物理标准模型理解的基础。

万物理论基本模型
好吧,讲人话:杨振宁说我搞了一个公式,以这个公式为基石可以构成一套数学框架,这个框架能描述电磁力和弱力,这个框架我现在搭好了,但本人能力有限,希望大家一起来搞,我是开源的喔,也是免费的喔,如果你们好好学习悉心钻研的话,可以利用它统一电磁力、弱力与强力。哪一天利用这个框架把引力干趴下了,我们就超越爱因斯坦了。稍有物理常识的人都会猜测出,杨振宁搞的这个方程,这不与大统一理论有关吗?

科学圣杯:统一四种自然力
是的,理解杨-米尔斯方程的伟大,就要从“大统一理论”开始。
那什么是“大统一理论”,为什么要统一人类理论?杨-米尔斯方程又在这里扮演什么角色?

大统一理论思路图
“大统一理论(Grand Unified Theory)”简称GUT,又称为万物之理。由于微观粒子之间仅存在这四种相互作用力:万有引力、电磁力(麦克斯韦完成)、强核力、弱核力。
理论上宇宙间所有现象也都可以用这四种作用力来解释,所以物理学家们一直相信这四种作用力应有相同的物理起源,它们在一定的条件下应能走到一起、相聚于同一个理论框架内。能统一说明这四种相互作用力的理论或模型,可以称为“大统一理论”。
因为构建了“大统一理论”,人类就可以解释万事万物。所以构建“大统一理论”,是所有顶尖科学家的梦想。构建“大统一理论”着手点是统一四种自然力,必须从最基础的粒子作用开始研究,由于微观粒子之间仅存在四种相互作用力,万有引力、电磁力、强核力、弱核力。理论上宇宙间所有现象,包括十维空间都可以用这四种作用力来解释。
1、电磁力:包括电力、磁力和光本身,属于长程力。2、强核力:是夸克之间的吸引力,由胶子传递。3、弱核力 :弱核力左右了部分放射性物质的衰变形态,造成β衰变。4、引力:由引力子传递,与质量成正比,距离成反比。
统一了这四种自然力,人类能够改变时空结构,了解宇宙万物来龙去脉,让物质变得井然有序。任意地组合与改变粒子,制造出前所未有的物质形态。我们甚至能左右空间的维度数,成为宇宙真正的主宰。
回看一下人类掌握“力”的历史:
1、人类诞生99.99%时间里,能够掌握的能量只是双手和肌肉力量,只有八分之一马力;2、十万年前,随着手持工具发明,人类的能量输出倍增,达到一又四分之一马力;3、牛顿发现万有引力。现代机械原理催生出蒸汽机,人类掌握的能量达到数十到数百马力;4、麦克斯韦方程式,人类进入电力时代,能量级数获得飞跃,极大推动人类文明进程;5、爱因斯坦的质能方程为人类打开了核能新时代,人类尚未成功发掘其潜能。
可见,如果哪一天我们统一了四种力,就赢取了科学圣杯,成为自己的上帝。

人类最伟大的“盗火者”
可寻找到一个解释宇宙万物的方程,谈何容易。人类世界那些试图“统一自然力”的科学家,无一不是顶尖天才。
在科学走向统一的大路上,这些“盗火者”有伽利略、牛顿、黎曼、麦克思韦、爱因斯坦,以及今天我们说到的杨振宁。
让我们来看看这段天才们走过的曲折而辉煌的人类之路,也许有些人迷恋于王候将相的春秋杀戳,有些人膜拜权力与财富的帝国纵横,但相对于我来说,人类顶尖天才寻找宇宙里的真知圣火,那才是全人类真正值得骄傲的时光。
让我们一起来感知这段曲折而美妙的旅程:

黑晚的中世纪逐渐远去,文艺复兴带来欧洲巨变,拿着望远镜仰望星空的伽利略似乎获得了神的指导,他首先统一了运动与静止的关系。

紧随其后的牛顿真正成为了上帝使者,他的牛顿三大定律和万有引力公式直接统一了九天星辰的运转之力,万物遂成光明。

不世出的数学天才黎曼也不甘示弱,当所有人都臣拜在牛顿膝盖前时,他认为自然力只是几何结构扭曲所造成的现象,直接吊打已经成神的牛顿,可惜天妒黎曼,英年早逝的他长眠在比甘佐罗教堂的院子里,墓碑上的碑文是:叫爱神的人得益处。

麦克斯韦紧跟其后,这个低调得让人怀疑一生没有谈过恋爱的男人,却有着无与伦比的数理能力,因为没有其它的爱好,它建立了完整的电磁理论,将电力和磁力统一了起来。
一直到19世纪末,人类一直走得顺风顺水,大统一理论好像就在山的那边水的那边,其中引力由牛顿万有引力定律管辖,电磁力则由麦克斯韦方程组约束。但麻烦的事情来了,麦克斯韦方程组和牛顿力学这套框架居然是矛盾的,这守护人类科学边界的左右护法打起来了。这,谁敢拉架呢?

好在另一个天才爱因斯坦横空出世,他用狭义相对论调和麦克斯韦方程组与牛顿力学之间的矛盾,用广义相对论收拾了喜欢超时空漫步的引力这个大刺头。接下来爱因斯坦的野心就非常的明显了:统一引力和电磁力,找到整个宇宙的终极真理。
就在爱因斯坦同学在思考人类的终极奥义之时,突然冒出来的量子力学那帮古惑仔,不但不来帮忙,还在那里瞎折腾什么“测不准”“不确定”,他们一路狂奔撬开了原子核这个“潘多拉魔盒”,在原子核内部又发现了两种新的力:强核力和弱核力。
这下可好,不但没能统一引力和电磁力,居然又冒出来两种新的力。爱因斯坦差点没被气死,这一辈子是不可能大统一了。

然后就到杨振宁的表演时间了,对于杨振宁来说,引力这厮貌似已经“跳出三界外,不在五行中”,先就让它呆在爱因斯坦的广义相对论殿堂里逍遥自在,我们先把电磁力、弱核力与强核力这三个力给统一了,回头再慢慢的来收拾它。
1954年,32岁的杨振宁给出了杨-米尔斯方程,并为此摸索出一套基于对称性与群论的数学框架,就是大名鼎鼎的“杨-米尔斯规范场论”。

“规范场”能与“相对论”比肩?
规范场论,真的有那么厉害?
诺贝尔奖得主丁肇中曾这样说:
“提到本世纪的物理学里程碑,我们首先想到三件事,一是相对论(爱因斯坦),二是量子力学(狄拉克),三是规范场(杨振宁)”。
可大多数人根本就没有听说过这个理论,“相对论”是大家小学没毕业就知道“和女朋友在一起时间可以变短”的故事,“量子力学”也听得耳朵起茧了,但“规范场论”摸着良心讲真没听过。

规范场论
其实原因很简单,“规范场论”是当代物理学最前沿阵地,如果你不是物理博士,根本就不可能接触到“规范场论”,一辈子也不可能与同位旋SU(2)打交道。
“规范场论”已经不是与质子、中子攀交情,而是和夸克一样级别的小玩意捉迷藏,寻常人等早已经被电磁场弄得死去活来,哪里还敢进入“规范场论”这种仙家会所修炼。 所以,另一个问题有了答案。
很多人在问,近60年来物理学家都干什么去了?大家似乎也只记得1900年到1953年这个黄金时代,爱因斯坦、玻尔、薛定谔、海森堡、狄拉克、玻恩、泡利等天才携手而来。

而自从1955年爱因斯坦去世之后,物理界声音小了很多。近60年来,物理学家去哪里了呢?答案是:很多优秀的物理学家在“规范场论”里寻找生存的意义,只是这个领域太前沿太深奥,并没有多少人能够真正理解它。
如果说20世纪初“相对论”是物理学旗手,中期是“新量子论”的天下,那么下半叶则属于“规范场论”。当然也有一些不同的说法,20世纪只有相对论和量子力学,其他都是前奏或后续。规范场论作为后续最成功的理论之一。我们不在这方面作出过多的讨论,但基于“规范场论”形成的微观粒子标准模型,一定可以称为20世纪物理学三大成就之一。

“规范场论”微观意义:
建立微观粒子标准模型
规范场论虽然陌生,其实与牛顿三大定律本质没什么区别。大部分人对微观粒子的认知到了“夸克”就基本终结,物理教科书上对“夸克”也语焉不详,没有几个人去探索这个深邃的亚原子世界。宏观世界我们有牛顿三大定律,不管人类深入地底还是探索火星,都必须遵守牛顿定律,但微观世界,又应该遵守哪一个定律?

原子示意图
“规范场论”目标就是建立一个完美的粒子标准模型,描述亚原子世界的运动状态,要让肉眼凡胎看不见的创世粒子,都在这个标准模型下运转。但这比早期玻尔在“量子世界”建立原子标准模型还要难,因为亚原子世界比原子还要细微,比电子还要缥缈。

现代粒子对撞实验示意图
现代物理必须弄清楚质子、中子和电子的相互作用。要探索这个世界,人类只有通过大型对撞机才能去发现其中的蛛丝马迹。
经过现代粒子对撞实验和理论的发展,主流物理学已经达成共识,质子由两个上夸克和一个下夸克组成,中子由两个下夸克和一个上夸克组成,而这些夸克的特性又有不同颜色。

质子夸克模型
然而,构建全面的夸克理论,必须假设有六种夸克,这些夸克组合成许多其它粒子。除了夸克组成的强子,还有轻子,轻子的种类和夸克一样,也是六种。夸克和夸克之间的强相互作用力又需要相应的交换粒子来传递,这些交换粒子叫做规范玻色子(如胶子)。
从夸克、轻子、规范玻色子,以及希格斯玻色子的交互作用来看,“规范场论”是描述亚原子世界的最成功的物理框架,目前的实验结果和规范场论的标准模型符合得很好,它对电子与光子之间相互作用的预计精确到,这是史上最精确的理论,没有之一。
实验证明了理论的正确性,不管你相不相信“规范场论”,它现在就是粒子物理的基石。
也就是说,规范场论是微观世界的牛顿三大定律。

“规范场论”宏观意义:
实现爱因斯坦“大统一理论”
微观与宏观是对应的,微观粒子间的作用最终表现为宏观的力。
自然界中的基本相互作用几乎都是通过某种形式的规范场来传递的,并由此确立了当代物理学的一个基本原则:几乎全部基本力都是规范场。
那么,规范场论有可能实现爱因斯坦眼中的“大统一理论”?(以下内容如果你读不懂,不是你的问题,是杨振宁先生的问题,量子学派已经尽力了)

量子规范理论实验图
我们可以用一个规范群为的规范场论来寻找这个答案:
1、电磁力对应规范场论。是一种最简单的规范场论,与电磁作用相联系的群是阿贝尔群,数学大神外尔给出了漂亮解释。
2、弱核力对应规范场论。由杨-米尔斯理论引入非阿贝尔规范场论解决,核子同位旋对称性在数学上属于群, 是非阿贝尔群。
3、强核力对应规范场论。强子由夸克构成,夸克间的强相互作用由规范作用来实现,群也是非阿贝尔群。

真空对称性自发破缺
1967年,温伯格和萨拉姆将“对称性破缺”引入弱相互作用和电磁相互作用统一的模型上,提出了规范群结构,建立了弱电统一理论,这是一种规范场论。

量子色动力学
1973年,格罗斯、波利茨和威尔茨克建立了基于非阿贝尔规范场的量子色动力学。形成了与电磁力、强核力、弱核力有关的所有物理现象的标准模型。
也就是说,除了引力,“规范场论”统一了三种力。
另外,我们还能看到,引力场就是在局部广义时空坐标变换下协变的规范场论。这就不得不让人们想到:是否物理学的统一之路归于“规范场论”呢?
当然,想将引力也纳入“规范场论”的标准模型中并不容易。虽然群涵盖了三种相互作用,但是这毕竟是三个不同的群,如果能够找一个单一的群,比如比较流行的和,它们含有子群,然后在低能标对称性自发破缺,这就是大统一。

超弦理论
直到现在,引力始终还没有统一进来,这又涉及到更前沿的“超弦理论”和“M理论”,随着希格斯粒子的发现,“超弦理论”困难重重,目前来看,“规范场论”仍然是最有可能实现爱因斯坦“大统一之梦”的优秀理论。

伟大的错误:杨-米尔斯方程
在规范场论框架之上,物理学家们建立起基本粒子标准模型,这是现代物理学最伟大的成就。
近60年来,再无获得共识的伟大的物理学理论问世;近60年来,也再无伟大的物理学家被奉为世界“灯塔”;近60年来,也再无激动人心的新人理论得到验证;
很多时候,我们甚至怀疑,真的有一个超级文明将我们的物理学锁死了!再次回首“规范场论”,越发能感觉到它的伟大,这个统治半甲子物理世界的理论,又离不开那个最开始的杨-米尔斯方程。

杨振宁在普林斯顿研究院课室
1949年的春天,29岁的杨振宁前往普林斯顿高等研究院,不仅接租了大数学家外尔的房子,还接替了外尔在理论物理界的位置。
作为一位出生于中国的物理学家,东方审美一直深深影响着他,“对称性”对于杨振宁来说,一直有着磁铁般的吸引力。
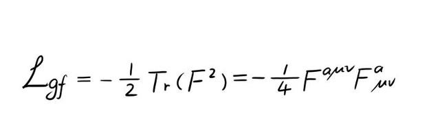
他沿着外尔的思考方向,把规范不变性推广到与电荷守恒定律类似的同位旋守恒中。认识到了描述同位旋对称性的是一种非阿贝尔群后,他与学生米尔斯提出了杨-米尔斯理论,即“杨-米尔斯方程”,经过后世科学家重新推导修正,方程现在具体如下:
杨-米尔斯方程是一个非线性波动方程,是线性的麦克斯韦方程的推广。
虽然全世界并没有多少人能弄懂它,但却是物理学界最重要的方程式之一,它开启了“规范场论”的伟大征程。
但杨-米尔斯理论并非一帆风顺。
1954年,杨振宁被物理学界的“上帝鞭子”泡利追问:电磁规范场的作用传播子是光子,光子没有质量,但是,强弱相互作用不同于电磁力,电磁力是远程力,强弱相互作用都是短程力,一般认为短程力的传播粒子一定有质量。
泡利不愧是物理界黄金时代的顶尖大牛,慧眼如灼,正是这个质量难题,让规范理论默默等待了20年!年轻的杨振宁一身冷汗,当时场景分外尴尬,报告几乎进行不下去,亏得主持人奥本海默打圆场,泡利方才作罢。
杨-米尔斯公式虽然没有真正解决强相互作用问题,但却构造了一个非阿贝尔规范场的模型。
开创者对该理论的贡献有多大,这样的成就不是谁可以否定的。
规范场论历经温伯格、盖尔曼、希格斯、威腾等科学家添砖加瓦,为所有已知粒子及其相互作用提供了一个框架。后来的弱电统一、强作用,直到标准模型,都是建立在这个基础上。
即使是尚未统一到标准模型中的引力,也有可能包括进规范场的理论之中。
如今,六十多年过去了,可以毫不夸张地说:杨-米尔斯规范场理论,对现代理论物理起了“奠基”的作用。

“规范场论”的遗憾:
杨-米尔斯存在性和质量缺口
“规范场论”在实验室被反复证明,但数学解释并不完美。杨-米尔斯理论一出生就有着先天缺陷,泡利提出的质量问题最后被南部阳一郎的对称性自发破缺机制及希格斯等人发明的希格斯机制勉强解决,成果就是电弱统一理论。

电弱统一理论示意图
但这并不能否定杨振宁的成就,在他获取诺奖后63多年来,有7个诺奖得主是因为找到杨振宁的“杨-米尔斯规范场论”预测的粒子而获奖,例如丁肇中、希格斯。
杨家将几乎垄断了60年来的诺奖物理奖的理论物理和粒子物理部分,另外有6个菲尔兹奖是研究杨振宁的方程而来。对于任何一个物理学家来说,这是多么伟大的成就。
至于微观粒子基本模型,历经温伯格、盖尔曼、希格斯、威腾等科学家添砖加瓦后,这些人最终预言了61个基本粒子。

标准模型的基本粒子
在以后的数十年里,寻找这61个基本粒子成为物理学家一生的追求,让人叹服的是,每一个粒子都一一被找到,微观粒子基本模型就此站上了神坛。
由于杨振宁提供了基础框架,告诉大家寻找的方法,所以把功劳算在他头上也是合理的。每一个粒子被找到,他的头上都会多出一圈魂环,这就是为什么老杨现在成了泰山北斗,看看现代物理学的研究,杨振宁是绕不开的一座高山。从这个意义上来说,说杨-米尔斯公式统治世界,也并不为过。

他是飞翔于天上的雄鹰
杨-米尔斯理论,它是全人类的智慧。
就像欧氏几何学五大公理一样,它是科学大厦的“底座”。
杨振宁的贡献,也不是那些娱乐八卦能够诋毁得了的。

1957年诺贝尔奖现场照片
不过,我们也不能神化一个人。除了爱因斯坦这个奇葩,物理学发展到今天,一个人要完成一个全部构架基本上是不可能的。很多理论在基本框架建立之初,很多概念是模糊的、不成熟的,杨振宁虽然提出了非阿贝尔规范场,但是当时仍然局限于同位旋SU(2)。在评价“杨-米尔斯的规范场论”的时候,很多人会把“杨-米尔斯的规范场论”等同于微观粒子基本模型。事实上,微观粒子基本模型的建立是一个庞大的工程,无数优秀的物理学家为其作出杰出贡献,前前后后也产生了十七个诺贝尔奖。

杨振宁领取诺贝尔奖
不过,无论如何解释,杨-米尔斯方程,仍然是历史级别的伟大。杨振宁提供的基础框架framework,同样站在文明的巅峰。现代物理学虽然群山起伏连绵不绝,那孤独的高峰却屈指可数。
量子电动力学大牛弗里曼·戴森在他的著名演讲《鸟和青蛙》里这样评价:
杨振宁高高地飞翔在诸多小问题构成的热带雨林之上,我们中的绝大多数在这些小问题里耗尽了一生的时光!
是的,他像一只雄鹰,俯瞰整个大地。今年,杨振宁先生99岁了。祝永远健康,年青依旧。明年的十月一日,庆祝百岁诞辰!

